立佳机械专业生产立式长轴泵,长轴液下泵,多吸头排污泵,立式液下泵,长轴多级筒袋式凝结水泵,立式长轴循环水泵,餐厨垃圾泵,H系列直角齿轮箱! 收藏本站 英文网站 手机网站 简体/繁體

18507312158
15111351988

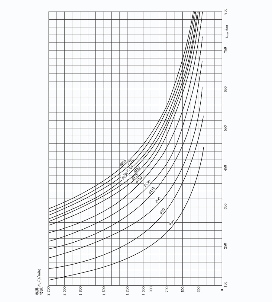
立式长轴泵最大轴承跨距及临界转速曲线图

立式长轴泵最大轴承跨距及临界转速曲线图:HLB、HLBK、HLKT、HLBS、HLKS等长轴泵,立式长轴泵,长轴斜流泵,立式斜流泵最大轴承跨距及临界转速曲线图,仅供参考,以实物为准!

立式长轴泵最大轴承跨距及临界转速曲线图.gif